Ecuaciones de la Recta: Explicación Dinámica

📘 Ecuaciones de la Recta: Explicación Dinámica

Explora las ecuaciones de la recta de forma interactiva. Haz clic en cada sección para expandirla y ver ejemplos, fórmulas y explicaciones.

1. Forma Pendiente–Intersección (y = mx + b)

Es la forma más popular para representar rectas.

y = mx + b
  • m: pendiente.
  • b: intersección con el eje Y.

Ejemplo:

y = 2x + 3
2. Forma Punto–Pendiente

Se usa cuando conocemos un punto y la pendiente.

y - y₁ = m(x - x₁)

Ejemplo:

y + 1 = 3(x - 4)
3. Forma General (Ax + By + C = 0)

Forma común en ejercicios algebraicos.

Ax + By + C = 0

Pendiente:

m = -A / B
4. Ejemplo Completo Interactivo

Recta que pasa por (2, 5) y (6, 13):

1. Calculamos la pendiente:

m = (13 - 5) / (6 - 2) = 8 / 4 = 2

2. Forma punto-pendiente:

y - 5 = 2(x - 2)

3. Forma pendiente–intersección:

y = 2x + 1

Ecuaciones de la Recta: Explicación Clara y Ejemplos

Las ecuaciones de la recta son una herramienta fundamental en el álgebra y la geometría analítica. Nos permiten describir de forma precisa cómo se comportan las líneas en un plano cartesiano. En esta entrada veremos las formas más comunes, cómo se interpretan y cómo utilizarlas para resolver problemas.


1. Ecuación de la Recta en Forma Pendiente–Intersección

La forma más conocida es:

y = mx + b
  • m: la pendiente de la recta (indica su inclinación).
  • b: el punto donde la recta corta al eje y (intersección con el eje vertical).

Por ejemplo, en la ecuación y = 2x + 3, la pendiente es 2 y la recta cruza el eje y en el punto (0, 3).


2. Ecuación Punto–Pendiente

Esta forma es especialmente útil cuando conoces un punto de la recta y su pendiente:

y - y₁ = m(x - x₁)

Donde (x₁, y₁) es un punto cualquiera de la recta y m es la pendiente.

Ejemplo: si pasa por (4, –1) y tiene pendiente 3, la ecuación es:

y + 1 = 3(x - 4)

3. Ecuación General de la Recta

Otra forma muy común es la general:

Ax + By + C = 0

A partir de esta forma también se puede calcular la pendiente mediante:

m = -A / B

Ejemplo: en la ecuación 2x - 3y + 6 = 0, la pendiente es:

m = -2 / -3 = 2/3

4. Ejemplo Completo

Problema: Encuentra la ecuación de la recta que pasa por los puntos (2, 5) y (6, 13).

Paso 1: calcular la pendiente:

m = (13 - 5) / (6 - 2) = 8 / 4 = 2

Paso 2: usar la forma punto–pendiente con (2, 5):

y - 5 = 2(x - 2)

Paso 3: convertir a forma pendiente–intersección:

y = 2x + 1

Conclusión

Dominar las ecuaciones de la recta te permitirá resolver una gran variedad de problemas algebraicos y geométricos. Practica con distintos puntos y pendientes y verás cómo tu comprensión mejora poco a poco.



Criterios de Divisibilidad 2, 4, 5 y 10

Criterios de Divisibilidad

Número Criterio de Divisibilidad Ejemplos
2 Un número es divisible por 2 si su último dígito es par (0, 2, 4, 6 o 8). 24, 38
4 Un número es divisible por 4 si sus dos últimos dígitos forman un número que es divisible por 4 o son ceros. 56, 132
5 Un número es divisible por 5 si su último dígito es 0 o 5. 25, 70
10 Un número es divisible por 10 si termina en 0. 80, 150

Tarea - Tabla de frecuencias para datos agrupados

  1. En el colegio San pedro Claver, se tomaron las notas de 40 alumnos en el examen final de estadística, calificado del 0 al 10, son las siguientes:  
  2. Una tienda en línea registra el tiempo que tarda la empresa de correos en hacer llegar su mercadería a los clientes. Los tiempos en días registrados son los siguientes:
     
  3. Un grupo de atletas se está preparando para una maratón siguiendo una dieta muy estricta. A continuación, para su respectivo control se toma el peso en kilogramos que ha logrado bajar cada atleta gracias a la dieta y ejercicios.



Propiedades de los liquidos

 Propiedades de los líquidos

Los fluidos, tanto líquidos como gases, exhiben una serie de propiedades que describen su comportamiento y características. Aquí tienes algunas de las propiedades más importantes de los fluidos:

Tarea - Ecuaciones cuadráticas completas

 Resolver los siguientes ejercicios

Resolver por el método de factorización



Resolver por completación de cuadrados

Resolver por formula general



Tarea - Densidad, peso especifico y presión

 Resolver los siguientes ejercicios

  1. Un taco de madera de 40 cm3 tiene una masa de 36 g/cm. ¿Cuál es la densidad de la madera en g/cm3 ?
  2. La densidad del aluminio es 2.7 g/cm3 , ¿Cuál es la masa de una esfera de aluminio de 30 cm3 ?
  3. La densidad del hielo es 0.9 g/cm3 . ¿Qué volumen ocupa 1 kg de hielo?
  4. La densidad de la gasolina es 680 kg/m3. Exprésala en g/L y g/cm3. 
  5. Sabiendo que una esfera maciza de 3 cm de radio tiene una masa de 12,3 g, calcula la densidad del material del que está hecho la esfera.
  6. Calcular el peso específico del oro cuya densidad es de 19300 kg/m^3
  7. Determine el peso específico de una sustancia cuya masa es de 800 kg y ocupa un volumen de 0,25 m3
  8. ¿Cuál es la densidad de un aceite cuyo peso específico es de 6,578 N/m3?
  9. Al aplicar una fuerza de 800 N sobre un área de 4m2, ¿Qué presión genera?
  10. ¿Qué área mínima debe tener una superficie para que pueda soportar fuerzas de 970 N y presiones por debajo de los 9.8 pascales?
  11. Aplicamos una fuerza de 15 N sobre una superficie de 2 m2 . Calcula la presión ejercida sobre cada punto de dicha superficie
  12. Golpeamos un clavo con una fuerza de 50 N. Sabiendo que la punta del clavo tiene una superficie de 1 mm2, ¿Qué presión ejerce?
  13. Un contenedor de 500 kg ejerce sobre el suelo una presión de 490 Pa. ¿Cuánto mide la superficie de su base?
  14. ¿Qué fuerza debemos aplicar sobre una superficie de 5 m2 para conseguir ejercer una presión de 350 Pa?
  15. Un coche tiene una masa de 1500 kg y sus neumáticos están hinchados a una presión de 175000 Pa. Calcula la superficie de contacto de cada neumático con el suelo. 

Tarea - Pendiente de la recta, ecuación explicita dela recta y ecuación general de la recta

 Resolver los siguientes ejercicios

  1. Encuentre la pendiente de cada recta en el siguiente gráfica
  2. Halla la pendiente de la recta que pasa por este par de puntos.(-3 , -3) y (2, -3)
  3. .¿Cuándo una función lineal es creciente y cuando es decreciente?
  4. Dada la siguiente tabla calcula la pendiente de la recta:
  5. Hallar la pendiente de la recta que pasa por los puntos A(-5,3) y B (4,-2)
  6. Determina la ecuación explicita de la recta que cumple con a condición dada. Pasa por el punto (-1,3) y tiene pendiente m=0
  7. Determina la ecuación explicita de la recta que cumple con a condición dada. Pasa por el punto (3,0) y tiene pendiente m=-(3/5)
  8. Determina la ecuación explicita de la recta que cumple con a condición dada. Pasa por el punto (0,4) y tiene pendiente m=4Determina la ecuación explicita de la recta que cumple con a condición dada. Corta a los ejes de coordenadas en los puntos (2,0) y (0,-3)
  9. Halla la ecuación explicita de la recta que pasa por los puntos (1,2) y (2,4)
  10. Halla la ecuación explicita de la recta que pasa por los puntos (-3,-5) y (5,3)
  11. Hallar la ecuación general de la recta que cumple con las condiciones dadas en cada caso: Pasa por los punto (-3,4) y (2,1)
  12. Hallar la ecuación general de la recta que cumple con las condiciones dadas en cada caso: Tiene como punto de corte con el eje y a  (0,3) y pendiente m=-3
  13. Hallar la ecuación general de la recta que cumple con las condiciones dadas en cada caso: Es horizontal y pasa por (4,5)
  14. Hallar la ecuación general de la recta que cumple con las condiciones dadas en cada caso: Los puntos de corte con los ejes coordenados son (7,0) y (0,-5)
  15. Hallar la ecuación de la que pasa por el punto y tiene pendiente  

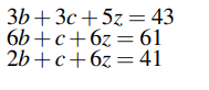
Taller de Matemática

 Resolver las siguientes ecuaciones por el método de reducción y determinantes

Grupo 1 

1)   2)      


Grupo 2
1) 2)


Grupo 3

1)   2)


Grupo 4

1)  2)











Taller 22/02/2024 - Tercero BGU - Asociaciòn de resistencias

  1.  Completa el cuadro:
  2.  Un circuito está formado por dos lámparas conectadas en serie. Si una de ellas se funde ¿Que sucederá cuando se pulse el interruptor?
  3. Un circuito está formado por dos lámparas conectadas en paralelo. Si una de ellas se funde ¿Que sucederá cuando se pulse el interruptor?
  4. En la figura, ¿Cuál es la resistencia equivalente en Ohmios?
       
    5.  Un circuito está forma por tres resistencias conectadas en paralelo. Si por R1 circula una corriente de 15A, ¿Qué corriente circula por R3?

     
    6. Calcula la resistencia equivalente a este circuito, si R1=5 Ohmios, R2=4 Ohmios, R3=12 Ohmios y R4=10 Ohmios 
     
     7.Calcula la resistencia equivalente a este circuito si R1=6 Ohmios, R2=4 Ohmios, R3=5 Ohmios, R4=8 Ohmios y R5=7 Ohmios
     
     8. En el circuito mostrado, calcula la corriente total que suministra la fuente , si R1=6 Ohmios, R2=12 Ohmios, R3=4 Ohmios, R4= 8 Ohmios, R5=2 Ohmios y 12 V