Movimiento Rectilíneo Uniforme

Un móvil se desplaza con movimiento rectilíneo uniforme (MRU), si sigue una trayectoria rectilínea y su velocidad es constante en todo momento recorriendo distancias iguales, en iguales intervalos

En un movimiento rectilíneo uniforme, la velocidad media en cualquier intervalo de tiempo, es siempre la misma; además, coincide con la velocidad instantánea para cualquier tiempo

Ecuación del MRU

Como la velocidad media coincide con la velocidad instantánea en cualquier instante y se mantiene constante
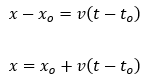
Esta ecuación nos da la distancia recorrida. A partir de ella, podemos deducir la ecuación de la posición en función del tiempo
 


Esta expresión constituye la ecuación del movimiento rectilíneo uniforme y nos da la posición que ocupa el móvil en cualquier instante

S se comienza a contar el tiempo cuando el móvil se encuentra en la posición  , es decir, resulta:


Gráficas del MRU