Ejercicios
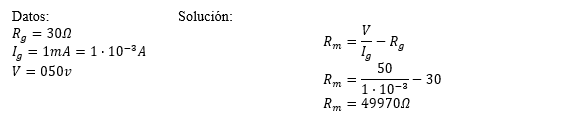
Un galvanómetro tiene una resistencia interna de 30 Ω y se desvía toda la escala con una corriente de 1 mA. Calcule la resistencia multiplicadora necesaria para convertir este galvanómetro en un voltímetro cuyo límite máximo es de 50 V
Un galvanómetro tiene una resistencia interna en la bobina de 46 Ω, y se requiere
una corriente de 200 mA para que la aguja se desvíe toda la escala. ¿Qué
resistencia en derivación debe usarse para convertir el galvanómetro en un
amperímetro cuyo intervalo máximo sea de 10 A?


